Поднятие степени из знаменателя в числитель и наоборот
Если знаменатель дробного выражения содержит степень, то данную степень можно поднять в числитель, изменив знак показателя этой степени на противоположный. Значение выражения при этом не меняется. Данное преобразование иногда используется при упрощении выражений.
Рассмотрим следующее равенство:
Данное равенство является верным, поскольку выражение равно 2, а любое число в нулевой степени есть единица.
Попробуем поднять степень 22 из знаменателя в числитель, изменив знак показателя этой степени на противоположный. При этом, поднятую степень и ту степень, которая располагалась в числителе, соединим знаком умножения:

Получили выражение 22 × 2−2. Чтобы его вычислить, воспользуемся основным свойством степени:
22 × 2−2 = 22 + (−2) = 2 = 1
Получился тот же результат, что и раньше. Значит значение выражения не изменилось. Как это работает?
Если в равенстве поменять местами левую и правую часть, то получим равенство . Это позволяет заменять в выражениях дробь вида на тождественно равное ей выражение a−n.
Теперь представим выражение в виде произведения . То есть . Напомним, что при замене деления умножением, делимое умножают на число, обратное делителю. А обратное делителю число в данном случае это дробь
Теперь воспользуемся правилом . В произведении заменим дробь на тождественно равное ей выражение 2−2
Далее, как и раньше применяем основное свойство степени:

Получился тот же результат 1.
Таким же образом можно опустить степень из числителя в знаменатель, изменив знак показателя этой степени на противоположный.
Рассмотрим выражение . Чтобы найти его значение, воспользуемся правилом деления степеней с одинаковыми основаниями. В результате получим
Теперь попробуем решить этот пример, опустив степень 2−2 из числителя в знаменатель, изменив знак показателя этой степени на противоположный. При этом, опущенную степень 2−2 и ту степень, которая располагалась в знаменателе, соединим знаком умножения. А в числителе останется единица:

Дальнейшее вычисление не составит особого труда:
Как и в прошлом примере выражение представимо в виде произведения
Этим и объясняется появление единицы в числителе, после того как степень 2−2 была опущена в знаменатель.
Переносимых в знаменатель либо в числитель степеней может быть несколько. Например, знаменатель дроби содержит степени 32, a3, b4. Перенесём эти степени в числитель, изменив знаки их показателей на противоположные. В результате получим выражение 3−2a−3b−4.
Пример 2. Поднять степени из знаменателя дроби в числитель
Пример 3. Поднять степени из знаменателя дроби в числитель
Пример 4. Поднять степень из знаменателя дроби в числитель
Пример 5. Опустить степень из числителя дроби в знаменатель
Пример 6. Степень из числителя дроби опустить в знаменатель, а степень из знаменателя поднять в числитель
Представлять дробь в виде произведения вовсе не обязательно. Если пропустить эту запись, то данный пример можно решить короче:
Пример 7. В дроби перенести из знаменателя в числитель только те степени, которые имеют отрицательные показатели:
Пример 8. Представить произведение 3x−5 в виде дроби, не содержащей степени с отрицательным показателем.
Перепишем произведение 3x−5 с помощью знака умножения:
3 × x−5
Сомножитель 3 оставим без изменений, а сомножитель x−5 заменим на тождественно равную ему дробь
Теперь согласно правилу , умножим множитель 3 на числитель дроби . В результате образуется дробь
Пример 9. Представить произведение 3(x + y)−4 в виде дроби, не содержащей степени с отрицательным показателем.
Выражение состоит из сомножителей 3 и (x + y)−4. Сомножитель 3 оставим без изменений, а сомножитель (x + y)−4 заменим на тождественно равную ему дробь
Теперь умножим множитель 3 на числитель дроби . В результате образуется дробь
Пример 10. Представить дробь в виде произведения.
Чтобы решить этот пример, достаточно поднять степень x2 в числитель, изменив знак показателя этой степени на противоположный:
Как и в прошлых примерах дробь можно было представить в виде произведения . Затем воспользовавшись правилом , заменить сомножитель на тождественно равный ему сомножитель x−2.
Пример 11. Представить дробь в виде произведения.
Пример 12. Найти значение выражения
Поднимем степень 2−3 из знаменателя в числитель, а степень 10−2 из числителя опустим в знаменатель:
Вычислим значения степеней, содержащихся в числителе и в знаменателе:
Сократим полученную дробь на 25. Тогда останется дробь , значение которой равно 2.

А если бы мы не подняли степень 2−3 в числитель, и степень 10−2 не опустили в знаменатель, а стали вычислять каждую степень по отдельности, то получили бы не очень компактное решение:
Понятие возведения в степень
Начнем с формулирования базовых определений.
Определение 1
Возведение в степень
— это вычисление значения степени некоторого числа.
То есть слова «вычисление значение степени» и «возведение в степень» означают одно и то же. Так, если в задаче стоит «Возведите число 0 , 5 в пятую степень», это следует понимать как «вычислите значение степени (0 , 5) 5 .
Теперь приведем основные правила, которым нужно придерживаться при таких вычислениях.
Вспомним, что такое степень числа с натуральным показателем. Для степени с основанием a и показателем n это будет произведение n -ного числа множителей, каждый из которых равен a . Это можно записать так:
Чтобы вычислить значение степени, нужно выполнить действие умножения, то есть перемножить основания степени указанное число раз. На умении быстро умножать и основано само понятие степени с натуральным показателем. Приведем примеры.
Пример 1
Условие: возведите — 2 в степень 4 .
Решение
Используя определение выше, запишем: (− 2) 4 = (− 2) · (− 2) · (− 2) · (− 2) . Далее нам нужно просто выполнить указанные действия и получить 16 .
Возьмем пример посложнее.
Пример 2
Вычислите значение 3 2 7 2
Решение
Данную запись можно переписать в виде 3 2 7 · 3 2 7 . Ранее мы рассматривали, как правильно умножать смешанные числа, упомянутые в условии.
Выполним эти действия и получим ответ: 3 2 7 · 3 2 7 = 23 7 · 23 7 = 529 49 = 10 39 49
Если в задаче указана необходимость возводить иррациональные числа в натуральную степень, нам потребуется предварительно округлить их основания до разряда, который позволит нам получить ответ нужной точности. Разберем пример.
Пример 3
Выполните возведение в квадрат числа π .
Решение
Для начала округлим его до сотых. Тогда π 2 ≈ (3 , 14) 2 = 9 , 8596 . Если же π ≈ 3 . 14159 , то мы получим более точный результат: π 2 ≈ (3 , 14159) 2 = 9 , 8695877281 .
Отметим, что необходимость высчитывать степени иррациональных чисел на практике возникает сравнительно редко. Мы можем тогда записать ответ в виде самой степени (ln 6) 3 или преобразовать, если это возможно: 5 7 = 125 5 .
Отдельно следует указать, что такое первая степень числа. Тут можно просто запомнить, что любое число, возведенное в первую степень, останется самим собой:
Это понятно из записи .
От основания степени это не зависит.
Пример 4
Так, (− 9) 1 = − 9 , а 7 3 , возведенное в первую степень, останется равно 7 3 .
Для удобства разберем отдельно три случая: если показатель степени — целое положительное число, если это ноль и если это целое отрицательное число.
В первое случае это то же самое, что и возведение в натуральную степень: ведь целые положительные числа принадлежат ко множеству натуральных. О том, как работать с такими степенями, мы уже рассказали выше.
Теперь посмотрим, как правильно возводить в нулевую степень. При основании, которое отличается от нуля, это вычисление всегда дает на выходе 1 . Ранее мы уже поясняли, что 0 -я степень a может быть определена для любого действительного числа, не равного 0 , и a 0 = 1 .
Пример 5
5 0 = 1 , (- 2 , 56) 0 = 1 2 3 0 = 1
0 0 — не определен.
У нас остался только случай степени с целым отрицательным показателем. Мы уже разбирали, что такие степени можно записать в виде дроби 1 a z , где а — любое число, а z — целый отрицательный показатель. Мы видим, что знаменатель этой дроби есть не что иное, как обыкновенная степень с целым положительным показателем, а ее вычислять мы уже научились. Приведем примеры задач.
Пример 6
Возведите 3 в степень — 2 .
Решение
Используя определение выше, запишем: 2 — 3 = 1 2 3
Подсчитаем знаменатель этой дроби и получим 8: 2 3 = 2 · 2 · 2 = 8 .
Тогда ответ таков: 2 — 3 = 1 2 3 = 1 8
Пример 7
Возведите 1 , 43 в степень — 2 .
Решение
Переформулируем: 1 , 43 — 2 = 1 (1 , 43) 2
Вычисляем квадрат в знаменателе: 1,43·1,43. Десятичные дроби можно умножить таким способом:
В итоге у нас вышло (1 , 43) — 2 = 1 (1 , 43) 2 = 1 2 , 0449 . Этот результат нам осталось записать в виде обыкновенной дроби, для чего необходимо умножить ее на 10 тысяч (см. материал о преобразовании дробей).
Ответ: (1 , 43) — 2 = 10000 20449
Отдельный случай — возведение числа в минус первую степень. Значение такой степени равно числу, обратному исходному значению основания: a — 1 = 1 a 1 = 1 a .
Пример 8
Пример: 3 − 1 = 1 / 3
9 13 — 1 = 13 9 6 4 — 1 = 1 6 4 .
Степень с иррациональным показателем
Пусть α – иррациональное число, а А ˃ 0.
Чтобы понять суть степени с таким показателем, рассмотрим разные возможные случаи:
А = 1. Результат будет равен 1. Поскольку существует аксиома – 1 во всех степенях равна единице;
А r 1 ˂ А α ˂ А r 2 , r 1 ˂ r 2 – рациональные числа;
0˂А˂1.
В этом случае наоборот: А r 2 ˂ А α ˂ А r 1 при тех же условиях, что и во втором пункте.
Например, показатель степени число π.
Оно рациональное.
r 1 – в этом случае равно 3;
r 2 – будет равно 4.
Тогда, при А = 1, 1 π = 1.
А = 2, то 2 3 ˂ 2 π ˂ 2 4 , 8 ˂ 2 π ˂ 16.
А = 1/2, то (½) 4 ˂ (½) π ˂ (½) 3 , 1/16 ˂ (½) π ˂ 1/8.
Для таких степеней характерны все математические операции и специфические свойства, описанные выше.
Урок и презентация на тему: «Степень с отрицательным показателем. Определение и примеры решения задач»
Дополнительные материалы
Уважаемые пользователи, не забывайте оставлять свои комментарии, отзывы, пожелания. Все материалы проверены антивирусной программой.
Определение степени с отрицательным показателем
Мы хорошо знаем, что любое число в нулевой степени равно единице. $a^0=1$, $a≠0$.
Возникает вопрос, а что будет, если возвести число в отрицательную степень? Например, чему будет равно число $2^{-2}$?
Первые математики, задавшиеся этим вопросом, решили, что изобретать велосипед заново не стоит, и хорошо, чтобы все свойства степеней оставались прежними. То есть при умножении степеней с одинаковым основанием, показатели степени складываются.
Давайте рассмотрим такой случай: $2^3*2^{-3}=2^{3-3}=2^0=1$.
Получили, что произведение таких чисел должно давать единицу. Единица в произведении получается при перемножении обратных чисел, то есть $2^{-3}=\frac{1}{2^3}$.
Такие рассуждения привели к следующему определению.
Определение. Если $n$ – натуральное число и $а≠0$, то выполняется равенство:
$a^{-n}=\frac{1}{a^n}$.
Важное тождество, которое часто используется: $(\frac{a}{b})^{-n}=(\frac{b}{a})^n$.
В частности, $(\frac{1}{a})^{-n}=a^n$
Примеры решения
Решение. Рассмотрим каждое слагаемое по отдельности.
1. $2^{-3}=\frac{1}{2^3}=\frac{1}{2*2*2}=\frac{1}{8}$.
2. $(\frac{2}{5})^{-2}=(\frac{5}{2})^2=\frac{5^2}{2^2}=\frac{25}{4}$.
3. $8^{-1}=\frac{1}{8}$.
Осталось выполнить операции сложения и вычитания: $\frac{1}{8}+\frac{25}{4}-\frac{1}{8}=\frac{25}{4}=6\frac{1}{4}$.
Ответ: $6\frac{1}{4}$.
Пример 2. Представить заданное число в виде степени простого числа
$\frac{1}{729}$.
Решение. Очевидно, что $\frac{1}{729}=729^{-1}$.
Но 729 — не простое число, заканчивающиеся на 9. Можно предположить, что это число является степенью тройки. Последовательно разделим 729 на 3.
1) $\frac{729}{3}=243$; 2) $\frac{243}{3}=81$; 3) $\frac{81}{3}=27$; 4) $\frac{27}{3}=9$; 5) $\frac{9}{3}=3$; 6) $\frac{3}{3}=1$.
Выполнено шесть операций и значит: $729=3^6$.
Для нашей задачи:
$729^{-1}=(3^6)^{-1}=3^{-6}$.
Ответ: $3^{-6}$.
Пример 3. Представьте выражение в виде степени:
$\frac{a^6*(a^{-5})^2}{(a^{-3}*a^8)^{-1}}$.
Решение. Первое действие выполняется всегда внутри скобок, затем умножение
$\frac{a^6*(a^{-5})^2}{(a^{-3}*a^8)^{-1}}=\frac{a^6*a^{-10}}{(a^5)^{-1}}=\frac{a^{(-4)}}{a^{(-5)}}=a^{-4-(-5)}=a^{-4+5}=a$.
Ответ: $a$.
Пример 4. Докажите тождество:
$(\frac{y^2 (xy^{-1}-1)^2}{x(1+x^{-1}y)^2}*\frac{y^2(x^{-2}+y^{-2})}{x(xy^{-1}+x^{-1}y)}):\frac{1-x^{-1} y}{xy^{-1}+1}=\frac{x-y}{x+y}$.
Решение.
В левой части рассмотрим каждый сомножитель в скобках отдельно.
1.
$\frac{y^2(xy^{-1}-1)^2}{x(1+x^{-1}y)^2}=\frac{y^2(\frac{x}{y}-1)^2}{x(1+\frac{y}{x})^2}
=\frac{y^2(\frac{x^2}{y^2}-2\frac{x}{y}+1)}{x(1+2\frac{y}{x}+\frac{y^2}{x^2})}=\frac{x^2-2xy+y^2}{x+2y+\frac{y^2}{x}}=\frac{x^2-2xy+y^2}{\frac{x^2+2xy+y^2}{x}}=\frac{x(x^2-2xy+y^2)}{(x^2+2xy+y^2)}$.
2. $\frac{y^2(x^{-2}+y^{-2})}{x(xy^{-1}+x^{-1}y)}=\frac{y^2(\frac{1}{x^2}+\frac{1}{y^2})}{x(\frac{x}{y}+\frac{y}{x})}
=\frac{\frac{y^2}{x^2}+1}{\frac{x^2}{y}+y}=\frac{\frac{y^2+x^2}{x^2}}{{\frac{x^2+y^2}{y}}}=\frac{y^2+x^2}{x^2} *\frac{y}{x^2+y^2}=\frac{y}{x^2}$.
3. $\frac{x(x^2-2xy+y^2)}{(x^2+2xy+y^2)}*\frac{y}{x^2}=\frac{y(x^2-2xy+y^2)}{x(x^2+2xy+y^2)}=\frac{y(x-y)^2}{x(x+y)^2}$.
4. Перейдем к дроби, на которую делим.
$\frac{1-x^{-1}y}{xy^{-1}+1}=\frac{1-\frac{y}{x}}{\frac{x}{y}+1}=\frac{\frac{x-y}{x}}{\frac{x+y}{y}}=\frac{x-y}{x}*\frac{y}{x+y}=\frac{y(x-y)}{x(x+y)}$.
5. Выполним деление.
$\frac{y(x-y)^2}{x(x+y)^2}:\frac{y(x-y)}{x(x+y)}=\frac{y(x-y)^2}{x(x+y)^2}*\frac{x(x+y)}{y(x-y)}=\frac{x-y}{x+y}$.
Получили верное тождество, что и требовалось доказать.
В конце урока еще раз запишем правила действий со степенями, здесь показатель степени — это целое число.
$a^s*a^t=a^{s+t}$.
$\frac{a^s}{a^t}=a^{s-t}$.
$(a^s)^t=a^{st}$.
$(ab)^s=a^s*b^s$.
$(\frac{a}{b})^s=\frac{a^s}{b^s}$.
Свойства степеней
Что же характерно для такой математической функции? Рассмотрим базовые свойства.
Учеными установлено следующие признаки, характерные для всех степеней:
- a n * a m = (a) (n+m) ;
- a n: a m = (a) (n-m) ;
- (a b) m =(a) (b*m) .
Проверим на примерах:
2 3 * 2 2 = 8 * 4 = 32. С другой стороны 2 5 = 2 * 2 * 2 * 2 * 2 =32.
Аналогично: 2 3: 2 2 = 8 / 4 =2. Иначе 2 3-2 = 2 1 =2.
(2 3) 2 = 8 2 = 64. А если по-другому? 2 6 = 2 * 2 * 2 * 2 * 2 * 2 = 32 * 2 = 64.
Как видим, правила работают.
А как же быть со сложением и вычитанием
? Всё просто. Выполняется сначала возведение в степень, а уж потом сложение и вычитание.
Посмотрим на примерах:
3 3 + 2 4 = 27 + 16 = 43;
5 2 – 3 2 = 25 – 9 = 16
Обратите внимание: правило не будет выполняться, если сначала произвести вычитание: (5 — 3) 2 = 2 2 = 4.. А вот в этом случае надо вычислять сначала сложение, поскольку присутствуют действия в скобках: (5 + 3) 3 = 8 3 = 512
А вот в этом случае надо вычислять сначала сложение, поскольку присутствуют действия в скобках: (5 + 3) 3 = 8 3 = 512.
Как производить вычисления в более сложных случаях
? Порядок тот же:
- при наличии скобок – начинать нужно с них;
- затем возведение в степень;
- потом выполнять действия умножения, деления;
- после сложение, вычитание.
Есть специфические свойства, характерные не для всех степеней:
- Корень n-ой степени из числа a в степени m запишется в виде: a m / n .
- При возведении дроби в степень: этой процедуре подвержены как числитель, так и ее знаменатель.
- При возведении произведения разных чисел в степень, выражение будет соответствовать произведению этих чисел в заданной степени. То есть: (a * b) n = a n * b n .
- При возведении числа в отрицательную степ., нужно разделить 1 на число в той же ст-ни, но со знаком «+».
- Если знаменатель дроби находится в отрицательной степени, то это выражение будет равно произведению числителя на знаменатель в положительной степени.
- Любое число в степени 0 = 1, а в степ. 1 = самому себе.
Эти правила важны в отдельных случаях, их рассмотрим подробней ниже.
Как возводить в отрицательную степень — числа от 0 до 1
Вспомним, что при возведении числа в промежутке от 0 до 1 в положительную степень, значение уменьшается с возрастанием степени. Так например, 0,5 2 = 0,25. 0,25
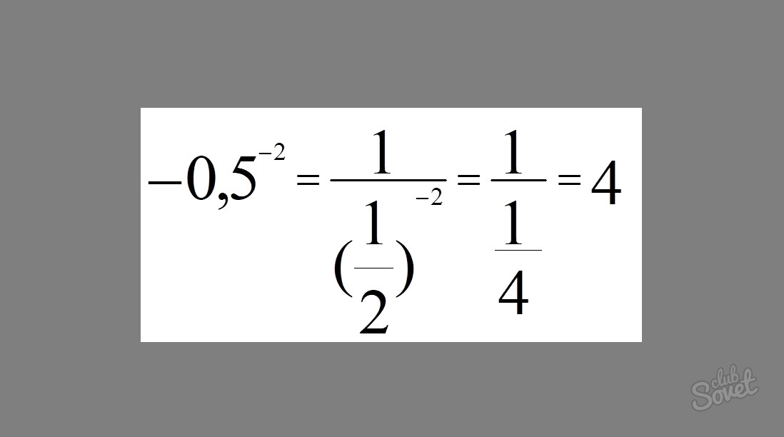
Пример 3: Вычислить 0,5 -2
Решение: 0,5 -2 = 1/1/2 -2 = 1/1/4 = 1×4/1 = 4.
Ответ: 0,5 -2 = 4
Разбор (последовательность действий):
Переводим десятичную дробь 0,5 в дробную 1/2. Так легче.
Возводим 1/2 в отрицательную степень. 1/(2) -2 . Делим 1 на 1/(2) 2 , получаем 1/(1/2) 2 => 1/1/4 = 4

Пример 4: Вычислить 0,5 -3
Решение: 0,5 -3 = (1/2) -3 = 1/(1/2) 3 = 1/(1/8) = 8
Пример 5: Вычислить -0,5 -3
Решение: -0,5 -3 = (-1/2) -3 = 1/(-1/2) 3 = 1/(-1/8) = -8
Ответ: -0,5 -3 = -8

Исходя из 4-го и 5-ого примеров, сделаем несколько выводов:
- Для положительного числа в промежутке от 0 до 1 (пример 4), возводимого в отрицательную степень, четность или нечетность степени не важна, значение выражения будет положительным. При этом, чем больше степень, тем больше значение.
- Для отрицательного числа в промежутке от 0 до 1 (пример 5), возводимого в отрицательную степень, четность или нечетность степени неважна, значение выражения будет отрицательным. При этом, чем больше степень, тем меньше значение.

Порядок действий в примерах со степенями
Вычисление значения называется действием возведения в степень. Это действие третьей ступени.
В выражениях со степенями, не содержащими скобки, сначала выполняют вовзведение в степень, затем умножение и деление , а в конце сложение и вычитание .
Если в выражении есть скобки, то сначала в указанном выше порядке выполняют действия в скобках, а потом оставшиеся действия в том же порядке слева направо.
Для облегчения решения примеров полезно знать и пользоваться таблицей степеней, которую вы можете бесплатно скачать на нашем сайте.
Для проверки своих результатов вы можете воспользоваться на нашем сайте калькулятором «Возведение в степень онлайн».
Формулы возведения в степень
Чтобы грамотно возводить в степень нужно помнить и знать формулы, указанные ниже. В этом нет ничего сверх естественного, главное понять суть и тогда они не только запомнятся, но и покажутся легкими.

Возведение одночлена в степень
Что из себя представляет одночлен? Это произведение чисел и переменных в любом количестве. Например, двух – одночлен. И вот именно о возведении в степень таких одночленов данная статья.
Пользуясь формулами возведения в степень вычислить возведение одночлена в степень будет не трудно.
Например, (3x^2y^3)^2= 3^2 * x^2 * 2 * y^(3 * 2) = 9x^4y^6
; Если возводить одночлен в степень, то в степень возводится каждая составная одночлена.
Возводя в степень переменную уже имеющую степень, то степени перемножаются. Например, (x^2)^3 = x^(2 * 3) = x^6
;
Возведение в отрицательную степень
Отрицательная степень – обратное число. Что такое обратное число? Любому числу Х обратным будет 1/X. То есть Х-1=1/X. Это и есть суть отрицательной степени.
Рассмотрим пример (3Y)^-3:
(3Y)^-3 = 1/(27Y^3).
Почему так? Так как в степени имеется минус, то просто переносим в знаменатель данное выражение, а затем возводим в его в третью степень. Просто не так ли?
Возведение в дробную степень
Начнем рассмотрение вопрос на конкретном примере. 43/2. Что означает степень 3/2? 3 – числитель, означает возведение числа (в данном случае 4) в куб. Число 2 – знаменатель, это извлечение корня второй степени из числа (в данном случае 4).
Тогда получаем квадратный корень из 43 = 2^3 = 8
. Ответ: 8.
Итак, знаменатель дробной степени может быть, как 3, так и 4 и до бесконечности любым числом и это число определяет степень квадратного корня, извлекаемого из заданного числа. Конечно же, знаменатель не может быть равным нулю.
Возведение корня в степень
Если корень возводится в степень, равной степени самого корня, то ответом будет подкоренное выражение. Например, (√х)2 = х. И так в любом случае равенства степени корня и степени возведения корня.
Если (√x)^4. То (√x)^4=x^2. Чтобы проверить решение переведем выражение в выражение с дробной степенью. Так как корень квадратный, то знаменатель равен 2. А если корень возводится в четвертую степень, то числитель 4. Получаем 4/2=2. Ответ: x = 2.
В любом случае лучший вариант просто перевести выражение в выражение с дробной степенью. Если не будет сокращаться дробь, значит такой ответ и будет, при условии, что корень из заданного числа не выделяется.
Возведение в степень комплексного числа
Что такое комплексное число? Комплексное число – выражение, имеющее формулу a + b * i; a, b – действительные числа. i – число, которое при возведение в квадрат дает число -1.
Рассмотрим пример. (2 + 3i)^2.
(2 + 3i)^2 = 22 +2 * 2 * 3i +(3i)^2 = 4+12i^-9=-5+12i.
Запишитесь на курс «Ускоряем устный счет, НЕ ментальная арифметика», чтобы научиться быстро и правильно складывать, вычитать, умножать, делить, возводить числа в квадрат и даже извлекать корни. За 30 дней вы научитесь использовать легкие приемы для упрощения арифметических операций. В каждом уроке новые приемы, понятные примеры и полезные задания.

🤓 Полезные советы
Несколько советов, которые могут помочь при возведении дробей в степень:
Возведение дроби в положительную степень увеличивает ее значение, а возведение в отрицательную степень уменьшает. Если вы не уверены в знаке ответа, лучше проверить его с помощью примера с небольшими числами. Перед возведением дроби в степень упростите ее до необходимой формы. Например, вы можете сократить дробь или преобразовать ее в десятичную дробь, чтобы упростить вычисления. Никогда не забывайте, что при возведении дроби в степень, каждый из ее частей (числитель и знаменатель) возводится в эту степень
Поэтому важно использовать правильный порядок операций и внимательно следить за каждой частью. Помните, что возведение дроби в отрицательную степень приводит к обращению дроби
То есть, если вы возведете дробь 1/2 в степень -2, то ответ будет равен 2 в квадрате или 4. Если вы сталкиваетесь с дробной степенью, упростите ее до необходимой формы, а затем примените корень соответствующей степени. Например, если вам нужно возвести дробь в 1/3 степень, сначала возведите ее в кубическую степень, а затем возьмите кубический корень ответа. Используйте свойства степеней, чтобы упростить вычисления. Например, если у вас есть дробь, которая является произведением двух других дробей, вы можете сначала возвести каждую из них в степень, а затем перемножить результаты. Наконец, не забывайте о дробных числах и десятичных дробях. Если вы используете калькулятор для возведения дроби в степень, убедитесь, что результат был преобразован в десятичную дробь или оставлен в виде дроби, если это необходимо.
Вопросы и ответы
А вот несколько ответов на часто задаваемые вопросы про возведение дроби в степень.
Как возвести дробь в степень?
Чтобы возвести дробь в степень, нужно возвести числитель и знаменатель в эту степень по отдельности, а затем сократить получившуюся дробь, если это возможно.
Как возвести дробную степень в степень?
Если необходимо возвести дробную степень в степень, нужно сначала возвести числитель и знаменатель степени в эту степень по отдельности, а затем применить правило возведения в дробную степень.
Как возвести отрицательную дробь в степень?
Возвести отрицательную дробь в степень можно так же, как и положительную дробь. При этом, если степень является четным числом, результат будет положительным, а если нечетным, то отрицательным.
Как возвести дробь в отрицательную степень?
Для того чтобы возвести дробь в отрицательную степень, необходимо возвести ее в положительную степень, а затем взять обратное значение полученного результата.
Как возвести дробь в дробную степень?
Для возвещения дроби в дробную степень можно возвести ее в эквивалентную целую степень, используя формулу x^(a/b) = (x^(a))^1/b, где x — число, a — числитель дробной степени, b — знаменатель дробной степени.
Похожие калькуляторы
Возможно вам пригодятся ещё несколько калькуляторов по данной теме:
- Индикт — что это и чему он равен. Индикт — это средневековый период времени, равный 15 годам.
- Декада — это сколько дней. Декада состоит из 10 дней, калькулятор показывает количество дней в декаде.
- Сколько лет в тысячелетии. Введите количество тысячелетий, чтобы узнать, сколько в них лет.
- Сколько месяцев в веке. Введите количество веков, чтобы узнать, сколько в них месяцев.
- Перевести месяцы в года. Введите количество месяцев, калькулятор переведет их в года.
- Перевести годы в недели. Введите количество лет, калькулятор переведет их в недели.
- Перевести недели в дни. Введите количество недель, калькулятор переведет их в дни.
- Перевести дни в недели. Введите количество дней, калькулятор переведет их в недели
- Перевести академические часы в часы. Введите количество академических часов, калькулятор переведет их в часы.
- Перевести наносекунды в миллисекунды. Введите количество наносекунд, калькулятор переведет их в миллисекунды.
✏️ Как возвести дробь в степень самостоятельно
Чтобы возвести дробь в степень самостоятельно вручную, необходимо выполнить следующие шаги:
- Разложить дробь на числитель и знаменатель, если это возможно.
- Возвести числитель и знаменатель в указанную степень по отдельности.
- Сократить полученную дробь до необходимой формы, если это возможно.
Например, чтобы возвести дробь 2/3 во вторую степень, нужно выполнить следующие действия:
- Разложить дробь на числитель и знаменатель: 2/3.
- Возвести числитель и знаменатель во вторую степень: 22/32 = 4/9.
- Полученная дробь уже находится в сокращенном виде, поэтому ответ равен 4/9.
Если дробь имеет отрицательное основание или степень, то необходимо использовать правила алгебры для работы с отрицательными числами и отрицательными степенями.
Например, чтобы возвести дробь -1/2 в третью степень, нужно выполнить следующие действия:
- Разложить дробь на числитель и знаменатель: -1/2.
- Возвести числитель и знаменатель в третью степень: (-1)3/23 = -1/8.
- Полученная дробь уже находится в сокращенном виде, поэтому ответ равен -1/8.
Степень числа 2

Степень числа 2 — это число, которое получается в результате возведения числа 2 в натуральную степень. Так, 2 в степени 3 равно 8 (2 × 2 × 2 = 8), а 2 в степени 5 равно 32 (2 × 2 × 2 × 2 × 2 = 32). В математике степени чисел обозначаются символом «^». Так, 2 в степени 4 записывается как 2^4.
Степени числа 2 часто встречаются в информатике, физике, экономике и других науках. Например, в информатике степень числа 2 используется для подсчета размера памяти и количества возможных комбинаций бит. В физике, степень числа 2 используется для вычисления потенциальной и кинетической энергии, а в экономике — для вычисления процентных ставок и скидок.
Степени числа 2 также используются в математических задачах. Например, задача: «Сколько существует возможных комбинаций первых 5 букв русского алфавита?» Решением задачи будет число, равное 2 в степени 5 (так как на каждой позиции может стоять только одна из двух букв).
- 2 в степени 1 равно 2
- 2 в степени 2 равно 4
- 2 в степени 3 равно 8
- 2 в степени 4 равно 16
- 2 в степени 5 равно 32
Возведение в отрицательную степень
Для наглядности следует обратить внимание на такую цепочку выражений:
110=0,1=1* 10 в минус 1 ст.,
1100=0,01=1*10 в минус 2 степ.,
11000=0,0001=1*10 в минус 3 ст.,
110000=0,00001=1*10 в минус 4 степeни.
Благодаря данным примерам можно четко просмотреть возможность моментально вычислить 10 в любой минусовой степени. Для этой цели достаточно банально сдвигать десятичную составляющую:
- 10 в -1 степeни — перед единицей 1 ноль;
- в -3 — три нуля перед единицей;
- в -9 — это 9 нулей и проч.
Так же легко понять по данной схеме, сколько будет составлять 10 в минус 5 ст. —
1100000=0,000001=(1*10)-5.
🗃️ Где можно применить калькулятор
Калькулятор возведения дроби в степень можно применять во многих областях, где необходимо выполнять вычисления с дробными числами.
Например, в математике калькулятор возведения дроби в степень может использоваться для решения уравнений с дробными показателями степени, для нахождения обратной дроби, для вычисления дробных производных и других задач.
Также калькулятор возведения дроби в степень может использоваться в физике, экономике, статистике, инженерных расчетах и других областях, где требуются точные вычисления с дробными числами.
Кроме того, калькулятор возведения дроби в степень может быть полезен для обычных расчетов в повседневной жизни, например, для расчета размеров и пропорций при ремонте, при покупке продуктов, при подсчете бюджета и других задач.
Итог
Мы рассмотрели лишь верхушку айсберга, чтобы понять математику лучше — записывайтесь на наш курс: Ускоряем устный счет — НЕ ментальная арифметика.
Из курса вы не просто узнаете десятки приемов для упрощенного и быстрого умножения, сложения, умножения, деления, высчитывания процентов, но и отработаете их в специальных заданиях и развивающих играх! Устный счет тоже требует много внимания и концентрации, которые активно тренируются при решении интересных задач.

Калькулятор помогает быстро возвести число в степень онлайн. Основанием степени могут быть любые числа (как целые, так и вещественные). Показатель степени также может быть целым или вещественным, и также как положительным, так и отрицательным. Следует помнить, что для отрицательных чисел возведение в нецелую степень не определено и потому калькулятор сообщит об ошибке в случае, если вы всё же попытаетесь это выполнить.
Калькулятор степеней
Возвести в степень
Возведений в степень: 20880




























